Cookie Consent byPrivacyPolicies.comJe cache un trésor - Eugenol

Je cache un trésor

Hok 1b hgd3rj - Eugenol
Hokusai

11/11/2024 à 16h35

Grifix-Gezucri écrivait:
--------------.
> Pour trouver cette réponse " intuitive" il faut chercher un synonyme équivalent
> à la vitesse de la lumière............
> ...............?

la célérité ??


Grifix-Gezucri

11/11/2024 à 19h04

Dentarue écrivait:
--------
> Certains phénomènes, comme l'intrication quantique, semblent défier l'idée de
> transmission de l'information à une vitesse limitée. Dans l'intrication, deux
> particules entremêlées montrent des corrélations instantanées, indépendamment de
> la distance qui les sépare.

Peut être c’est ici encore le meilleur chemin vers la réponse mais ce n’est pas encore ça.
Faudrait peut-être s’arrêter plus sûrement sur un physicien qui a introduit la notion de quantum de lumière pour être sur le bon chemin.


Grifix-Gezucri

11/11/2024 à 19h05

Hokusai écrivait:
-------
> Grifix-Gezucri écrivait:
> --------------.
> > Pour trouver cette réponse " intuitive" il faut chercher un synonyme
> équivalent
> > à la vitesse de la lumière............
> > ...............?
>
> la célérité ??

Non faudra voir un autre synonyme.
A suivre.....
(NB : sachant que je suis fasciné par la Genèse cela devrait vous aider quelque peu.)


Vw campersurfvan bmnk1q - Eugenol
enlaye

11/11/2024 à 21h51

Pcq si tu dépasses la lumière il n y aurait plus de jour et donc plus de séparation avec la nuit . Tu retournerais donc avant le 1 er jour de la création , et tu n existerais pas encore .
Moralité, si tu avances trop vite tu recules :-)


Grifix-Gezucri

11/11/2024 à 23h00

enlaye écrivait:
------
> Pcq si tu dépasses la lumière il n y aurait plus de jour et donc plus de
> séparation avec la nuit . Tu retournerais donc avant le 1 er jour de la création
> , et tu n existerais plus .

Nous arrivons donc au commencement du monde.
La lumière se sépare des ténèbres 400 000 ans après le temps de Planck.
Le temps, l’espace et la matière sont presents.
Des 4 forces fondamentales unifiées au depart, la gravitation fait "secession"
Une vitesse est une Longueur divisé par une Unité de temps.
Mais ici le mot recherché a été prononcé depuis un bon moment....... oui mais lequel?
Quelqu’un peut il poursuivre?

(...........)
Voici maintenant une petite réflexion qui m’est personnelle et qui n’engage que moi bien entendu.

enlaye remonte en deçà du temps de Planck et dit "tu n’existerais plus".
C’est peut-être là que tout a commencé justement....hors du temps, de l’espace et de la matière, il me semble.
Là où rien de concret ne peut sortir : telle une equation mathématique ou physique.
Là où je ne peux rien prouver sauf peut-être des sauts dans cet espace où mes rêves ont rapporté des bribes d’événements futurs qui défient l’entendement.
Bref, là où la conscience pure, l’esprit ou l’âme ont visiblement trouvé refuge et finissent plus tard par épouser la matière et où la Science n’a pas sa place et ne peut strictement rien dire.
En résumé ce "là" je lui donne un nom.
........mais ce n’est pas la réponse à la question posée.


Avatar transparent iqadnc - Eugenol
adhoc

12/11/2024 à 09h31

la gravitation n'est nulle part assez forte pour entrainer une mise en orbite partielle d'un photon, ce qui pourrait peut être a la manière d'une fronde augmenter sa vitesse.
Nulle part.... sauf au niveau des trous noirs dans lesquels les photons qui arrivent avec un angle inferieur à la tangente de leurs directions avec l'angle formé avec le centre du trou noir. En gros, pour etre plus clair, les photons qui arrivent assez "centraux" sont aspirés par le trou noir.
Les autres, plus tangents, vont soit s'écarter soit rentrer en orbite partielle et être éjectés par les plus grandes frondes de l'Univers connu. Peut etre que la, et c'est a mon avis le seul modèle valable, les photons seraient accélérés temporairement. Peut etre.


Oh putaaaaaaaaain !

Mauriiiiiiiiiiiiiiiiiiiice,fait péter un doliprane avec le café steuplé, m'ont donné mal au scalp le Gézu et l'Adhoc !🤯


Grifix-Gezucri

12/11/2024 à 10h28

ℙ𝕖𝕣𝕧𝕖𝕣𝕤 ℙé𝕡è𝕣𝕖 écrivait:
--------------
> Oh putaaaaaaaaain !
>
> Mauriiiiiiiiiiiiiiiiiiiice,fait péter un doliprane avec le café steuplé, m'ont
> donné mal au scalp le Gézu et l'Adhoc !🤯

On va attendre l’AM pour sortir le lapin du chapeau.
Il faut prendre bien soin du Marseillais des fois que le pastaga de midi lui provoque avec l’HTA qu’on lui inflige, un AVC catastrophique !
C’est pas qu’il soit fada peuchère, mais quand il verra le lapin il est capable de nous faire un malaise le péquélé.


wind57

12/11/2024 à 13h35

L expansion


Et7jtaj0pdi18gzjlxjiamlx15gs - Eugenol
Prunelles

12/11/2024 à 14h20

Je comprends pas vos délires.
L'énergie kinétique augmente de façon exponentielle lorsque l'on s'approche de "c".
Il faudrait une énergie infinie pour atteindre la vitesse de la lumière, ce qui est impossible ; ou une masse nulle (comme un photon).

6zy64r5r8qweayaduzah6inkh30j - Eugenol

6szjws718sv1jksw54v4mpj3a6cu - Eugenol
vulpi

12/11/2024 à 15h13

adhoc écrivait:
-----
> la gravitation n'est nulle part assez forte pour entrainer une mise en orbite
> partielle d'un photon, ce qui pourrait peut être a la manière d'une fronde
> augmenter sa vitesse.
> Nulle part.... sauf au niveau des trous noirs dans lesquels les photons qui
> arrivent avec un angle inferieur à la tangente de leurs directions avec
> l'angle formé avec le centre du trou noir. En gros, pour etre plus clair, les
> photons qui arrivent assez "centraux" sont aspirés par le trou noir.
> Les autres, plus tangents, vont soit s'écarter soit rentrer en orbite partielle
> et être éjectés par les plus grandes frondes de l'Univers connu. Peut etre que
> la, et c'est a mon avis le seul modèle valable, les photons seraient accélérés
> temporairement. Peut etre.peut

Peut-être pas. Le photon est attiré par la courbure de l'espace temps aux abords d'un trou noir et non par une force gravitationnelle qui ne peut s'exercer sur lui, puisqu'il n'a pas de masse.
À ce que j'ai compris....


Grifix-Gezucri

12/11/2024 à 15h22

Prunelles écrivait:
---------
> Je comprends pas vos délires.
> L'énergie kinétique augmente de façon exponentielle lorsque l'on s'approche de
> "c".
> Il faudrait une énergie infinie pour atteindre la vitesse de la lumière, ce qui
> est impossible ; ou une masse nulle (comme un photon).

Ah ben tiens elle manquait celle là!
Je décide de sortir le pinou:
Vitesse de Planck = Longueur de Planck/ Temps de Planck
= 1,616 × 10^-35m / 5,391×10^-44s
=299 758, 857 km/s
= c
Salut et merci zà tous.


vulpi écrivait:
-----

> ...Le photon est attiré par la courbure ...aux abords d'un trou noir ...

Ouais tout pareil,
du coup suis un faux thon ???


6szjws718sv1jksw54v4mpj3a6cu - Eugenol
vulpi

12/11/2024 à 17h55

Prunelles écrivait:
---------
> Je comprends pas vos délires.
> L'énergie kinétique augmente de façon exponentielle lorsque l'on s'approche de
> "c".
> Il faudrait une énergie infinie pour atteindre la vitesse de la lumière, ce qui
> est impossible ; ou une masse nulle (comme un photon).

Il a une masse nulle déjà qu'il arrête jamais de bouger:-) ( dans ce cas on peut l'entrer dans des équations) ou il n'a pas de masse?
@ zézu, le big bang, c'est le temps zéro ( le début à tout) ou bien cela n'a pas de sens, le temps n'existant pas à ce moment ( de fait terme très approximatif:-).
Demain nous parlerons du vide et du néant, sujet passionnant!


Et7jtaj0pdi18gzjlxjiamlx15gs - Eugenol
Prunelles

12/11/2024 à 19h45

De mémoire, un photon n’a pas de masse.
Ainsi l’énergie kinétique nécessaire à un photon pour atteindre la vitesse de lumière est nulle.
C’est pour cela qu’un photon voyage à la vitesse de la lumière dans le vide absolue… ah… oh… me souviens à l’instant que les particules émises par un réacteur nucléaire immergé peuvent dépasser la vitesse d’un photon.

EDIT : Bingo ! C’est l’effet Tcherenkov !
https://fr.m.wikipedia.org/wiki/Effet_Tcherenkov


6szjws718sv1jksw54v4mpj3a6cu - Eugenol
vulpi

12/11/2024 à 21h25

Un vieux bouquin, 2011, que j'avais trouvé sympa. La mot "roman" est important. Il dresse les portraits de physiciens et leurs rôles dans l'évolution des connaissances. La petite histoire dans la grande en quelques sortes.
Il se trouve peut-être d'occasion.

Qnn41jsr898xgx306pg2r20ojoay - Eugenol

Vw campersurfvan bmnk1q - Eugenol
enlaye

12/11/2024 à 21h31

La lumière et la vitesse c est lié .
si si , pour augmenter la vitesse , on limait les lumières de la mob .


6szjws718sv1jksw54v4mpj3a6cu - Eugenol
vulpi

13/11/2024 à 09h34

Prunelles écrivait:
---------
> De mémoire, un photon n’a pas de masse.
> Ainsi l’énergie kinétique nécessaire à un photon pour atteindre la vitesse de
> lumière est nulle.
> C’est pour cela qu’un photon voyage à la vitesse de la lumière dans le vide
> absolue… ah… oh… me souviens à l’instant que les particules émises par un
> réacteur nucléaire immergé peuvent dépasser la vitesse d’un photon.
>
> EDIT : Bingo ! C’est l’effet Tcherenkov !
> https://fr.m.wikipedia.org/wiki/Effet_Tcherenkov
Il sert à mettre en évidence l'existence des neutrinos, particule ayant de très faibles interactions.


Avatar transparent iqadnc - Eugenol
adhoc

13/11/2024 à 16h53

Un photon , meme s'il n'a pas de masse au repos , en a une a grande vitesse. Oui, je sais..... Il est donc sensible à la gravitation, et pourrait l'etre encore plus
s'il est soumis a l'effet de fronde.
Peut être qu'a ce moment la, la vitesse théorique est dépassée?

J'ai eu mille difficultés a expliquer a l'IA pour avoir un schéma cohérent qui illustrait pile poil ce que j'ai dit plus haut.

Z0qhj1qptktk60dg8b1rxi1cr83k - Eugenol

6szjws718sv1jksw54v4mpj3a6cu - Eugenol
vulpi

13/11/2024 à 17h52

Un photon n'est jamais au repos en fait.


6szjws718sv1jksw54v4mpj3a6cu - Eugenol
vulpi

13/11/2024 à 17h56

C'est un effet de la déformation de l'espace temps et non de la gravitation, donc dans son cas peu importe une hypothètique masse. En l'état actuel de nos connaissances la vitesse de la lumière est indépassable.
Nous attendons le futur Einstein, Planck ou Newton pour la suite.
Ça serait bien qu'il ne traine pas trop.😂


Avatar transparent iqadnc - Eugenol
adhoc

13/11/2024 à 19h20

Pourquoi une fracture temporelle? C'est un peu compliqué comme theorie . ,Pourquoi certaines particules viennent a l'interieur du trou noir, et d'autres sont expulsés avec une cinetique qui suit exactement les lois de la gravitation, comme pour n'importe quel objet.
Pour notre comprehension, en rerstant simple, le photon a une nature corpusculaire ET ondulatoire. Que viennent faire une dilatation ou une contraction de l'espace temps? A la limite, espace, oui, temps, pourquoi?


Grifix-Gezucri

13/11/2024 à 19h51

adhoc écrivait:
-----
> Un photon , meme s'il n'a pas de masse au repos , en a une a grande vitesse.
> Oui, je sais..... Il est donc sensible à la gravitation, et pourrait l'etre
> encore plus
> s'il est soumis a l'effet de fronde.
> Peut être qu'a ce moment la, la vitesse théorique est dépassée?
>
> J'ai eu mille difficultés a expliquer a l'IA pour avoir un schéma cohérent qui
> illustrait pile poil ce que j'ai dit plus haut.

Moi i’en souis fier d’avoir oun amigo comé toi.
👏👏👏👏


6szjws718sv1jksw54v4mpj3a6cu - Eugenol
vulpi

13/11/2024 à 19h59

adhoc écrivait:
-----
> Pourquoi une fracture temporelle? C'est un peu compliqué comme theorie .
> ,Pourquoi certaines particules viennent a l'interieur du trou noir, et d'autres
> sont expulsés avec une cinetique qui suit exactement les lois de la gravitation,
> comme pour n'importe quel objet.
> Pour notre comprehension, en rerstant simple, le photon a une nature
> corpusculaire ET onfdulatoire. Que viennent faire une dilatation ou une
> contraction de l'espace temps. A la limite, espace, oui, temps, pourquoi?
Houla !😁 Je suis dentiste pas physicien 😉
Si on suit la théorie, un photon n'a pas de masse, la conséquence est simple, pas de masse : pas assujetti à la loi de la gravitation universelle.
Pour l'espace et le temps, c'est un continuum Marty !!! Tous dans la de Loréane. 😁 Il est déformé du fait de la densité du trou noir . C'est la théorie dans le cadre du photon qui n'a pas de masse.
C'est compliqué d'imaginer cette relation entre l'espace et le temps. Rien de visible, ou de connu par nous pour le visualiser.


Avatar transparent iqadnc - Eugenol
adhoc

13/11/2024 à 20h09

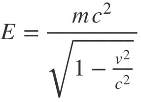
On a appris a te connaitre , mon vulpi, tu es tres intuitif et tu raisonnes tres bien. Mais vraiment, c'est quasi sur, un photon a une masse lorsqu'il est en mouvement. Est ce que E=Mc² est juste a tout moment?. Est ce qu'il n'existe pas une relation AUSSI entre la celerité et la masse ?

Tout ceci n'empeche pas que notre métier aussi est autant passionnant que fatiguant, et que les plus grands physiciens ont besoin de nous , meme le petit gars discret et gentil a qui on a devitalisé une dent douloureuse et qui va decouvrir les secrets de l'energie noire 12 ans plus tard . :-)


1...73747576